إشعاراتإشعارات بالمنح

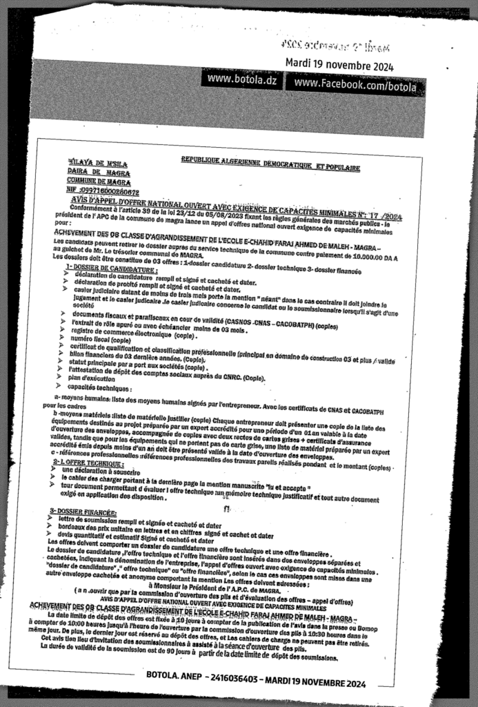
إعلان عن طلب عروض مفتوح 2024/17 بلدية مقرة

مقالات ذات صلة

اترك تعليقاً

لن يتم نشر عنوان بريدك الإلكتروني. الحقول الإلزامية مشار إليها بـ *

زر الذهاب إلى الأعلى