avisAvis d'attribution

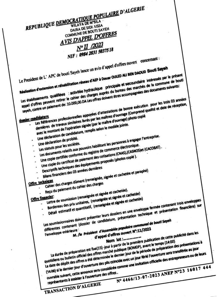
Avis d’appel d’offres N°11/2023 Commune de Bouti Sayeh

مقالات ذات صلة

اترك تعليقاً

لن يتم نشر عنوان بريدك الإلكتروني. الحقول الإلزامية مشار إليها بـ *

زر الذهاب إلى الأعلى